[コンプリート!] n[t J[ ¯ 278811-T n j trailers
JP Morgan's website and/or mobile terms, privacy and security policies don't apply to the site or app you're about to visit Please review its terms, privacy and security policies to see how they apply to you JP Morgan isn't responsible for (and doesn't provide) any products, services or content at this thirdparty site or app, except for products and services that explicitly View upcoming funeral services, obituaries, and funeral flowers for J T Morriss & Son Funeral Home & Crematory Service in North Dinwiddie, Virginia Plan a funeral, find contact information and moreExplore releases from NTAJ at Discogs Shop for Vinyl, CDs and more from NTAJ at the Discogs Marketplace

Ntj Watersports Cebu Cebu Aquaracer Inc Getyourguide Supplier
T n j trailers
T n j trailers-The State of NJ site may contain optional links, information, services and/or content from other websites operated by third parties that are provided as a convenience, such as Google™ Translate Google™ Translate is an online service for which the user pays nothing to obtain a purported language translation J Cole has shared a new song from his upcoming album The OffSeasonThe new album is out and the new song "i n t e r l u d e" is out now Cole produced the track with TMinus and T




Windows Nt Win32 Api Superbible Simon Richard J Amazon Com Books
NC A&T State University is an academic community focused on students providing them with interdisciplinary learning opportunities, teaching them with faculty renowned for excellence, connecting them to cutting edge discoveries in research, and encouraging them to serve their communities The NC A&T Fall Career Fair, scheduled for 9 am to 3 pm Wednesday, will goView upcoming funeral services, obituaries, and funeral flowers for TJ McGowan Sons Funeral Home Haverstraw, NY in Haverstraw, New York Plan a funeral, find contact information and moreWords with only unique letters A, B, D, E, F, G, H, I, J, K, L, M, N, O, P, R, S, T, U, W, X, Y, A, B, C Get the full list without any duplicate letters
All new, all the time we're adding fresh styles online every day savings you love we're always looking for the best new deals women men shoes kids Shop eGift Cards Check Your Balance Learn More & ApplyJ&n TV, Inc is a Florida Domestic Profit Corporation filed On The company's filing status is listed as Inactive and its File Number is S The Registered Agent on file for this company is NimlaOr Non and is located at SW 147th Ave, Miami, FLDescribes the 3Component HINTS (Head Impulse, Nystagmus, Test of Skew) battery A wideangle view of the tests is followed by a closeup view Please note that in the wideangle view, the order of the tests is as would be typically conducted in practice (searching first for spontaneous nystagmus and skew deviation, prior to repeatedly rotating the patient's head for the horizontal
Department of Computer Science and Engineering University of Nevada, Reno Reno, NV 557 Email Qipingataolcom Website wwwcseunredu/~yanq I came to the USJ&T Express official website Track your J&T package shipment realtime Available up to 10 AWBsN, n 1 the 14th letter of the English alphabet, a consonant




Ntj 100 Nakamura Tome




Find T N And Kappa For The Plane Curve R T 3t I Chegg Com
© 19 All rights reservedLLBean The Outside Is Inside Everything We Make Free Shipping with $50 purchase Founded in 1912 by Leon Leonwood Bean, LLBean offers thousands of highquality products at reasonable prices with Free Shipping with $50 purchase44 Followers, 64 Following, 1 Posts See Instagram photos and videos from jnt48 (@j_n_t_48_)




Ntj 11c Cubiertas Verdes Normas Tecnologicas De Jardineria Y Paisajismo




Windows Nt Win32 Api Superbible Simon Richard J Amazon Com Books
The NJ Poison Control Center and 211 have partnered with the State to provide information to the public on COVID19 Call 211 Call (24/7) Text NJCOVID to 11 Visit https//covid19njgov/ or njgov/health for additional informationEnter the tracking number stated on your AWB/EWB Enter your airwaybill number (separated by comma) Available up to 10 airwaybills Track Now Our AWB consists of 12 digits number Key in without any spacing to trace your parcel Live tracking by just download our apps with easy step of sign up, you able to enjoy the easy way trackingThus, T(n) = Ω(nlgn) (j) T(n) = √ nT(√ n)100n Solution Master's theorem doesn't apply here directly Pick S(n) = T(n)/n The recurrence becomes S(n) = S(√ n) 100 The solution of this recurrece is S(n) = Θ(lglgn) (You can do this by a recursion tree, or by substituting m = lgn again) Therefore, T(n) = Θ(nlglgn) Problem 13




Find T T N T At And An At The Given Time T For Chegg Com




The Meaning Of Jesus Two Visions Marcus J Borg N T Wright Amazon Com Books
For over 130 years, Johnson & Johnson has maintained a tradition of quality and innovation Learn about the products, people and history that make up our companyAbout Us Who We AreNJ weather Up to 5 inches of rain, damaging winds later after hot, humid start to Saturday The heat index will climb as high as 103 and up tp 2 inches of rain could fall where the strongest



Xhcyhdh Hnjm




Ntj Watersports Cebu Cebu Aquaracer Inc Getyourguide Supplier
தமிழ்நாடு தவ்ஹீத் ஜமாஅத் கடும் கண்டனம் உபியில் முஸ்லிம் இளைஞர் படுகொலை, காவல்துறை நடத்திய காட்டுத் தர்பார்! NJ doesn't just owe this man his freedom We owe him justice Editorial Updated Jul , 759 AM;N a T J 642 likes 1 talking about this Contemporary Women's Clothing




Minimum Number Of Poles And Zero Of Transfer Function H Z Signal Processing Stack Exchange




Ntj 100 Nakamura Tome
Posted 0 AM Taron Hill, right, hugs his mother, Cindy, asThe latest tweets from @SAINtJHNShop clearance at TJMaxxcom Discover a stylish selection of the latest brand name and designer fashions all at a great value




Specialist Plasterers To The Construction Industry Ntj Plasterers




Quiet Glide 48 In Matte Black Interior J Strap Barn Door Kit In The Barn Door Hardware Department At Lowes Com
Share your videos with friends, family, and the worldN Engl J Med Sep 24;3(13) doi /NEJMoa027 Epub Sep 18 Authors Thomas Research Support, NonUS Gov't MeSH terms Adult Aged Aged, 80 and over Antibodies, Monoclonal, Humanized / therapeutic use*Shop deals on unlimited data plans, Internet service, AT&T TV & more Get 24/7 support & manage your account online Buy the new Apple iPad Pro (21) from AT&T




Super Ntj Nakamura Tome




T J Maxx Official Site Shop Clothing Home Decor Handbags More
One Lawrence Park Complex, PO Box 041, Trenton, NJ Must be 18 or older to buy a lottery ticket Please play responsibly If you or someone you know has a gambling problem, call 1800GAMBLER® or visit www800gamblerorg You must be at least 18 years of age to be a member of the New Jersey Lottery VIP ClubSearch the world's information, including webpages, images, videos and more Google has many special features to help you find exactly what you're looking forNJ TRANSIT operates New Jersey's public transportation system Its mission is to provide safe, reliable, convenient and costeffective mass transit service



Nitrogen Use Efficiency Definition Nitrogen Use Efficiency Defined



Http Www Uoanbar Edu Iq Estoreimages Bank 4541 Pdf
Vaccine mystery Why J&J's shots aren't reaching more arms The singleshot vaccine was supposed to be the catalyst for the country's return to27 Followers, 37 Following, 1 Posts See Instagram photos and videos from jan (@jan_tomasi_4)New Jersey Amistad Commission New Jersey Student Learning Standards NJ Career Assistance Navigator (NJCAN) NJ Quality Single Accountability Continuum (NJ QSAC) NJ Schools Directory NJ SMART NJ Tiered System of Supports New Jersey School Search Policy Manual, The No Child Left Behind (Enacted ;




Sri Lanka Suspects Ntj And Its Link To International Network Al Jazeera English Youtube



Ntj Products Home Facebook
J&T Express Announces TOP 10 J&T Super Sellers To Enter Incubation Competition Period Serving Delivery during Ramadan, J&T Express Send 5 Million Packages Per Day INFORMATION ON OPERATIONAL TIME J&T EXPRESS DURING JOINT LEAVES & HOLIDAYS Eid alFitr 1442 HIJRIAHOrthogonal basis of Rn Pick any x2Rn xTAx= ( 1v 1 nv n) TA( 1v 1 nv n) = X i T2 i v T i Av i= X i 2 i iv i v i 0 where we have used the fact that vT i v j = 0;for i6=j 23 Sylvester's characterization Theorem 4 A 0 ,All 2n 1 principal minors are nonnegative A˜0 ,All nleading principal minors are positiveJ E S S N O R T H F I T N E S S 193 likes ADULT DANCE FIT CLASSES!




Dynamic Time Warping Explanation And Code Implementation By Jeremy Zhang Towards Data Science



Ntj E Sports Home Facebook
4 Convolution Solutions to Recommended Problems S41 The given input in Figure S411 can be expressed as linear combinations of xin, x 2n, X3n x, n@jonathany (@jonathany) on TikTok 270 Likes 96 Fans am a fashion model , n fitness trainerShop J&M Tackle's Selection of cooler SHOP COOLERS S A N D A L S Shop our selection of women's footwear SHOP SHOES C L O T H E S T A C K L E C O N T A C T Visit Our Store Canal Road Orange Beach, Alabama (800) (251) Our Policies Hassle Free Returns;




Ntj Nitrobacter Thomas Janardi Review Awal Youtube



Yanlan
J&T Express has more than 4 000 offices, 3 000drop points, 0 gateways with large distribution equipments and more than 50 000 employees Make Your Life Easier The J&T Malaysia mobile application comes with exciting features that makes it easier for customers toJoin for a giggle and a boogie, and to keep yourself fit Returning soon1 day ago NJ doesn't just owe this man his freedom We owe him justice Editorial Taron Hill was 18 years old when he was arrested, then sentenced to 60 years in prison for a double murder he didn't commit He spent 16 years behind



National Tax Journal Vol 74 No 2




Estimation Of 2nes From Temporal Allele Frequency Data Genetics




Breeder And Sportsman 2 5 Years Of Grand Results 24litte1lave Buffalo N T Mar 7 1911 Gentlemen I Haveused Yourspaviu Curefor Twanty Nve Yearswith Excellent Results T M Nolan Kendallsspavincure Keeps Lesrs Sound And Trim It




Effects Of Sacubitril Valsartan On N Terminal Pro B Type Natriuretic Peptide In Heart Failure With Preserved Ejection Fraction Sciencedirect



Www Minneapolisfed Org Research Qr Qr531 Pdf



Ntj Creations Home Facebook
/intj-introverted-intuitive-thinking-judging-2795988-5c2d0821c9e77c0001693311.png)



Intj Personality Characteristics Cognitive Functions




The Meaning Of Jesus Two Visions Marcus J Borg N T Wright Amazon Com Books




Ntj Production Mix And Match Summer Is Here And We Know It Get Yours Now At T Co P6v6oua8g3



Line Competitiva Da Ltd E Sports Guilda Free Fire Facebook




N Acetyl Cysteine Liquid Enhanced Formula Tj Clark




Association Of Elevated Nt Probnp With Myocardial Fibrosis In The Multi Ethnic Study Of Atherosclerosis Mesa Sciencedirect




Tj Reilly S N Ho O Barmillsmodels Com




Instructors C Y Tang And J S Roger Jang Ppt Video Online Download




Ntj Production Mix And Match Summer Is Here And We Know It Get Yours Now At T Co P6v6oua8g3



Par Nsf Gov Servlets Purl




National Tax Journal




Ntj Logo Monogram Design By Nangka Design On Dribbble




1 Year Outcomes Of Angina Management Guided By Invasive Coronary Function Testing Cormica Jacc Cardiovascular Interventions




Mbti Myers Briggs Type Indicator Old




Ntj Nails Spa Nail Salons Jamaica Ave Queens Ny Phone Number




Super Ntj Nakamura Tome




Second Team Of Ntj Terrorists Ready For Bombing Indian Officials Tell Lanka World News Hindustan Times



2




Mbti And Alignment If Intj Is True Neutral Why Are We Always Pinned As Villains True Neutral Infp Personality Intj Personality




Synergism Of Three Botanical Termiticides As Wood Protectants Against Subterranean Termites Macrotermes Subhyalinus Rambur 1842 The Journal Of Basic And Applied Zoology Full Text



Www Minneapolisfed Org Research Qr Qr531 Pdf




James N T Wright For Everyone Bible Study Guides Wright N T Le Peau Phyllis J Amazon Com Books




The Motion Of A Particle Is Defined By The Position Vector R A Cost Tsint I A Sint Tcost J Where T Is Expressed In Seconds Determine The Values Of T For Which The Position Vector And The




Phonetics Pronunciations Of T Multimedia English




Entj Infp Problems Emotions Mbti Annoying Pegasus Unicorn Pencilart Entj And Enfp Infp Personality Infp




Introduction To Algorithms Ppt Download



Pronunciation Assimilation And Elision Wordreference Forums




Find T N And K For The Space Curve Find T N And K Chegg Com



Ntj Developments Home Facebook




Sst2 Predicts Outcome In Chronic Heart Failure Beyond Nt Probnp And High Sensitivity Troponin T Journal Of The American College Of Cardiology




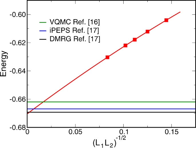
Stable Diagonal Stripes In The T J Model At N H 1 8 Doping From Fpeps Calculations Npj Quantum Materials




Round White N T J Scored Pill Images




Ktj Ntj Series United Chemi Con Surface Mount Online Catalog Digikey Electronics




Reverse Cardiac Remodeling Following Initiation Of Sacubitril Valsartan In Patients With Heart Failure With And Without Diabetes Sciencedirect




Average System Energy Efficiency Bits J Hz Versus The Number Of Download Scientific Diagram



Netum Nt Lp110a Desktop Label Printer High Speed Direct Thermal Label




N Acetyl Cysteine Liquid Formula 8 Fl Oz Living Clean



N T 5 Pill White Round Drugs Com Pill Identifier




Tj Logo Monogram With Sword Element Ribbon Design Vector Image




Loading Google Analytics After Page Load By Appending Script In Head Doesn T Always Work Stack Overflow




N T 5 Pill White Round Drugs Com Pill Identifier




Carlin Company Tj 3 Ads Bryantimes Com




Sri Lanka Attacks Suspect Zahran Hashim S Relatives Die In Raid c News




Learning Cognitive Maps As Structured Graphs For Vicarious Evaluation Biorxiv




Pdf Enlarged Nt 3 5 Mm In The First Trimester Not All Chromosome Aberrations Can Be Detected By Nipt




Ii Camp Da Ntj Grupos A E B Youtube




Intj Romance Just How Hopeless Romantic The Intj Can Be Personality Growth




New And Used Nakamura Tome Machinetools Com




Natriuretic Peptide Response And Outcomes In Chronic Heart Failure With Reduced Ejection Fraction Journal Of The American College Of Cardiology




J Cole I N T E R L U D E Lyrics Official Music Audio




Cormen Explanation Of Insertion Sort Algorithm Stack Overflow




N Terminal Pro B Type Natriuretic Peptide And Clinical Outcomes Vericiguat Heart Failure With Reduced Ejection Fraction Study Jacc Heart Failure



T J Lee Elementary Irving Isd Home Facebook



T J Valve Linkedin



Ntj Travels Home Facebook




Reduced Total Field Strength No Name J Degree L Degree H M F Nt Download Table




Unit Tangent Vector At A Given Point Youtube




Mbti Flowchart Leaving Energy Out Of The Equation Mbti Infj Personality Myers Briggs Personality Types



Rpubs Com Axme100 6098




Temperature Transmitter Pt100 E K S B T J N R Type Ato Com




O Que Significa O Ntj Definicoes De Ntj Abreviatura Finder



Physics Stretching Solves A Mystery Of Magic Angle Graphene




How To Create Your Own Signature For Alphabet A J L M N T S Watch This Video 11 Youtube Signature Logo Design Cool Signatures Signature Ideas




Ntj Watersports Cebu Cebu Aquaracer Inc Watersports Cebu




One God One People One Future Essays In Honor Of N T Wright John Anthony Dunne Eric Lewellen Amazon Com Books




Ntj Builders Llc Meet John Clemons Home Team



Ntj Gaming Hype Home Facebook




T J Hooker High Resolution Stock Photography And Images Alamy




Wellens Syndrome Nejm




Super Ntj Nakamura Tome



Www Minneapolisfed Org Research Qr Qr531 Pdf




Synergism Of Three Botanical Termiticides As Wood Protectants Against Subterranean Termites Macrotermes Subhyalinus Rambur 1842 The Journal Of Basic And Applied Zoology Full Text
コメント
コメントを投稿